- Review
- Open Access
- Published:
Synthesis and therapeutic potential of imidazole containing compounds
BMC Chemistry volume 15, Article number: 12 (2021)
Abstract
Imidazole is a five-membered heterocyclic moiety that possesses three carbon, two nitrogen, four hydrogen atoms, and two double bonds. It is also known as 1, 3-diazole. It contains two nitrogen atoms, in which one nitrogen bear a hydrogen atom, and the other is called pyrrole type nitrogen. The imidazole name was reported by Arthur Rudolf Hantzsch (1857–1935) in 1887. 1, 3-diazole is an amphoteric in nature i.e. it shows both acidic and basic properties. It is a white or colorless solid that is highly soluble in water and other polar solvents. Due to the presence of a positive charge on either of two nitrogen atom, it shows two equivalent tautomeric forms. Imidazole was first named glyoxaline because the first synthesis has been made by glyoxal and ammonia. It is the basic core of some natural products such as histidine, purine, histamine and DNA based structures, etc. Among the different heterocyclic compounds, imidazole is better known due to its broad range of chemical and biological properties. Imidazole has become an important synthon in the development of new drugs. The derivatives of 1, 3-diazole show different biological activities such as antibacterial, antimycobacterial, anti-inflammatory, antitumor, antidiabetic, anti-allergic, antipyretic, antiviral, antioxidant, anti-amoebic, antihelmintic, antifungal and ulcerogenic activities, etc. as reported in the literature. There are different examples of commercially available drugs in the market which contains 1, 3-diazole ring such as clemizole (antihistaminic agent), etonitazene (analgesic), enviroxime (antiviral), astemizole (antihistaminic agent), omeprazole, pantoprazole (antiulcer), thiabendazole (antihelmintic), nocodazole (antinematodal), metronidazole, nitroso-imidazole (bactericidal), megazol (trypanocidal), azathioprine (anti rheumatoid arthritis), dacarbazine (Hodgkin's disease), tinidazole, ornidazole (antiprotozoal and antibacterial), etc. This present review summarized some pharmacological activities and various kinds of synthetic routes for imidazole and their derived products.

Background
Nowadays, Public health problems were increasing due to AMR in drug therapy. So, there is necessary for the development of a new drug that overcomes the AMR problems [1].
In past, those drugs which contain heterocyclic nuclei give high chemotherapeutic values and act as a remedy for the development of novel drugs [2]. There are lots of heterocyclic compounds that are in clinical use to treat infectious diseases. So, there is a great importance of heterocyclic ring containing drugs [3].
In heterocyclic chemistry, imidazole containing moiety occupied a unique position [4]. It is a five-membered nitrogenous heterocyclic moiety that possesses three carbon, two nitrogen, four hydrogen atoms, and two double bonds having general molecular formula is C3H4N2 (Fig. 1). The nitrogen atoms present at the first and third positions (non–adjacent position) of the ring [5], position four and five are equivalent [6]. It is also known as 1,3-diazole. It contains two nitrogen atoms, one nitrogen bear a hydrogen atom, and the other is called pyrrole type nitrogen [7]. 1,3-diazole ring is a bioester of the pyrazole ring [8]. It is the basic core of some natural products such as histidine, purine, histamine and DNA based structures, etc. [4]. The imidazole name was first reported by Arthur Rudolf Hantzsch (1857–1935) in 1887 [6].
1,3-diazole shows an amphoteric phenomenon i.e. it can behave like acid as well as a base. Two types of lone pair are present in the imidazole ring, delocalized and non-delocalized (non-Huckle) lone pair, i.e. both nitrogen of 1,3-diazole shows different dissociation constant. The dissociation constant (pKa) of delocalized lone pair and non-delocalized lone pair is 7 and 14.9 respectively. 1,3-diazole ring is susceptible to both electrophilic and nucleophilic attacks due to its amphoteric phenomenon [7]. For an acid imidazole, the dissociation constant is 14.5, which makes it less acidic than phenol, imides, and carboxylic acid except for alcohols (which is less acidic than imidazole). For a basic imidazole, the dissociation constant (pKa) is approximately 7 (which makes imidazole 60 times more basic than pyridine). The acidic proton is present on the first nitrogen atom of the imidazole ring [6].
Due to the presence of a positive charge on either of the two nitrogen atoms, 1,3-diazole ring shows two equivalent tautomeric forms (Fig. 2) [9]. The presence of a sextet of π-electrons on the ring makes it an aromatic compound. The nitrogen atom on the third position in the imidazole ring is more reactive to the electrophilic compound due to the availability of unshared pairs of electron on the second nitrogen atom since the second nitrogen is a part of aromatic sextet [6].
It is a white or colorless solid. The imidazole ring shows excellent solubility in water and other polar solvents [10]. The dipole moment, melting point, and boiling point of the imidazole ring is 4.8 D in dioxane [6], 88.9 °C, and 267.8 °C [7] respectively. It possesses intramolecular hydrogen bonding [9].
Imidazole was first named glyoxaline because the first synthesis has been made by glyoxal and ammonia [9]. There is a different kind of synthetic route from which we can synthesize 1,3-diazloes, and its derivatives. Common methods are Debus-Radiszewski synthesis, Wallach synthesis, from dehydrogenation of imidazolines, from alpha halo-ketones, Marckwald synthesis, and amino nitrile [11].
Due to the polar nature of the imidazole ring, the pharmacokinetic parameters of the imidazole containing compounds should be improved to a great extent. Thus, this moiety helps to overcome the solubility problems of poorly soluble drug entities [12].
The 1,3-diazole and it's containing compounds shows a lot of therapeutic activities such as analgesics, antifungal, antihypertensive, antiobesity, antitumor [3], antiviral, anthelmintic, antitubercular [4], antiulcer, antihistaminic [13], anti-inflammatory, antidepressant [14]. antidiabetic [15], anticonvulsant [16], antiallergic [7], antirheumatic [17], antiasthmatic, alpha-blockers [18], antiprotozoal [19], antiaging, anticoagulant, antimalarial [20], and antiamoebic activity [21] etc.
There are different examples of commercially available drugs which consist 1,3,4-oxadiazole ring (Table 1) such as clemizole (antihistaminic agent), etonitazene (analgesic), enviroxime (antiviral), irtemazole, astemizole (antihistamine), omeprazole, pantoprazole (antiulcer), thiabendazole (antihelmintic), nocodazole (antinematodal) [22], metronidazole and nitrosoimidazole (bactericidal), megazol (trypanocidal) [12], azathioprine (anti-rheumatoid arthritis), tinidazole, ornidazole (antiprotozoal and antibacterial), satranidazole (amoebiasis), cimetidine (gastric ulcer), carbimazole (against thyroid disorder), tolazoline (vasodilator action), naphazoline (vasoconstrictor), tetrahydrozoline (vasoconstrictor) [16], etomidate, lansoprazole, flumazenil, methimazole, pilocarpine [19], ketoconazole [23], dacarbazine (anticancer) [24], pimobendan (calcium sensitizer and phosphodiesterase inhibitor) [25], fenbendazole [26].
The mechanism for the formation of 2,4,5-trisubstituted imidazole
The Debus-Radziszewski reaction mechanism for the formation of the 2,4,5-trisubstituted imidazole is given by (Scheme 1) [27].
Main text
Antibacterial activity
Jain et al. [28] synthesized 2-(4-substituted phenyl)-1-substituted-4, 5-diphenyl-1H-imidazole (Scheme 2) and evaluated their antimicrobial activity against S. aureus, E. coli, and B. subtilis by cylinder wells diffusion method using Norfloxacin as a reference drug. Among the different derivatives, compounds 1a and 1b showed good antimicrobial potential. The conclusion of antibacterial activity was presented in (Table 2, Jain et al. [28]).
Narasimhan et al. [1] synthesized pyridin-3-yl (2-(2,3,4,5-tetra substituted phenyl)-1H-imidazol-1-yl) methanone (Scheme 3). The tube dilution method was used for the determination of antimicrobial potential against S. aureus, B. subtilis, and E. coli using ciprofloxacin as a reference drug. The antifungal activity of these derivatives was also evaluated against A. niger and C. albicans using Fluconazole as a reference standard. The conclusion of antimicrobial potential was presented in (Table 3, Narasimhan et al. [1]).
Brahmbhatt et al. [2] synthesized 3-(2,4-disubstituted phenyl)-1-(4-substituted phenyl)-4-(4,5-diphenyl-1H-imidazol-2-yl)-1H-pyrazole (Scheme 4). The antibacterial activity of these derivatives was evaluated against Staphylococcus aureus, Bacillus subtilis, Escherichia coli, and Pseudomonas aeruginosa using amikacin sulfate, ampicillin, and chloramphenicol as a reference drug. Compound 4 h shows the most potent activity as compared to the rest of the synthesized compounds. The conclusion of antibacterial activity was presented in (Table 4, Brahmbhatt et al. [2]).
Parab et al. [29] synthesized (Z)-4-((6-Bromo-2-chloroquinolin-3-yl) methylene)-2-phenyl-1-(2, 3, 4-trisubstituted phenyl)-1H-imidazol-5(4H)-one by using Scheme 5. The antibacterial activity of synthesized derivatives was evaluated against E. coli, P. aeruginosa, B. subtilis, and B. megaterium by agar cup borer method using streptomycin as a reference drug. The antimycotic potential was evaluated for these derivatives against Candida albicans and Aspergillus niger using imidil as a reference drug and the conclusion of activity was presented in (Table 5, Parab et al. [29]).
Sharma et al. [17] synthesized 2,3-disubstituted-3, 4-dihydroimidazo [4,5-b] indole (Scheme 6) and evaluated for antibacterial activity against Staphylococcus aureus, Bacillus subtilis, Escherichia coli, and Klebsiella pneumoniae by Kirby-Bauer disc technique using ciprofloxacin as reference drug. The conclusion of antimicrobial potential was presented in (Table 6, Sharma et al. [17]).
Ahsan et al. [30] synthesized N-(4-substituted phenyl)-2-(2-(2-(2-hydroxyphenyl)-4, 5-diphenyl-1H-imidazol-1-yl) acetyl) hydrazine carbothioamide (Scheme 7). The antibacterial activity of synthesized derivatives was evaluated against Escherichia coli, Bacillus subtilis, and Staphylococcus aureus using Ofloxacin as a reference drug. The antimycotic potential was evaluated for these derivatives against C. albicans using Voriconazole as a positive control. Compounds 8a, 8b, and 8d showed good antifungal activity against C. albicans. The conclusion of antimicrobial activity was presented in (Table 7, Ahsan et al. [30]).
Bhade et al. [18] synthesized 2,4-dichloro-6-(2-substituted-2,5-dihydro-1H-imidazol-4-yl)phenol, 6-(3, 5-dichloro-2-hydroxyphenyl)-2-substituted-2H-imidazo[1,2-a]imidazol-3(5H)-one, 1-acetyl-4-(3, 5-dichloro-2-hydroxyphenyl)-1H-imidazol-2(5H)-one, (Z)-4-(3,5-dichloro-2-hydroxyphenyl)-1-(3-(2, 3-dichlorophenyl) acryloyl)-1H-imidazol-2(5H)-one and 4-(3,5-dichloro-2-hydroxy phenyl)-1-(5-(2,3-dichlorophenyl)-4,5-dihydro-1H-pyrazol-3-yl)-1H-imidazol-2(5H)-one by using (Scheme 8). The antibacterial activity of these derivatives was evaluated against Staphylococcus aureus, Staphylococcus epidermidis, Salmonella typhi and Pseudomonas aeruginosa using chloramphenicol as reference control. The conclusion of activity was presented in (Table 8, Bhade et al. [18]).
Desai et al. [31] synthesized (Z)-(4-((2-chloroquinolin-3-yl)methylene)-5-oxo-2-phenyl-4,5-dihydro-1H-imidazol-1-yl)substituted carbamic (Scheme 9) and evaluated for antimicrobial potential against Staphylococcus aureus, Escherichia coli, Pseudomonas aeruginosa, and Streptococcus pyogenes by serial broth dilution method using ampicillin as a reference standard and the results were summarized in (Table 9a, Desai et al. [30]). The antimycotic potential of these derivatives was evaluated against A. niger, C. albicans, and A. clavatus using griseofulvin as a reference standard. The results of the activity were summarized in (Table 9b, Desai et al. [31]).
Shobhashana et al. [32] synthesized 6-substituted-3-(4,5-diphenyl-1H-imidazol-2-yl)-2-(4-substituted phenoxy) quinoline by using (Scheme 10) and evaluated for antimicrobial activity against Bacillus subtilis, Escherichia coli, Clostridium tetani, Streptococcus pneumoniae, and Salmonella typhi by using the broth dilution method. Ampicillin, chloramphenicol, and ciprofloxacin were used as a positive control. The antimycotic activity of these derivatives was evaluated against Candida albicans and Trichophyton rubrum using Nystatin and Griseofulvin as reference drugs. The conclusion of antimicrobial activity was presented in (Table 10a, b, Shobhashana et al. [32]).
Selvan et al. [33] developed N-(2-(1H-benzo[d]imidazol-2-yl)phenyl)substituted formimidoyl by using (Scheme 11). The disc diffusion technique was used for the determination of antimicrobial activity against S. aureus using ciprofloxacin as a positive control. The antimycotic activity of these derivatives was evaluated against A. niger using Nystatin as a reference drug and the conclusion of antimicrobial potential was presented in (Table 11, Selvan et al. [33]).
Zala et al. [8] synthesized 2-(substituted amino)-1-(2,4,5-triphenyl-1H-imidazol-1-yl) ethanone (Scheme 12) and evaluated for antimicrobial potential against Staphylococcus aureus and Escherichia coli using ciprofloxacin as a reference drug. The antimycotic potential of these derivatives was evaluated against C. albicans using Clotrimazole as a reference drug. The conclusion of antibacterial activity was presented in (Table 12, Zala et al. [8]).
Yadav et al. [34] synthesized 2-((1H-benzo[d]imidazol-2-yl)thio)-N-(4-oxo-2-(2,3,4,5,6-Penta substituted phenyl)thiazolidin-3-yl)acetamide and 2-((1H-benzo[d]imidazol-2-yl)thio)-N-(2-substituted-4-oxothiazolidin-3-yl) acetamide by using (Scheme 13). The antibacterial activity of these derivatives was evaluated against different bacterial strains (Staphylococcus aureus, Escherichia coli, and Bacillus subtilis) using Norfloxacin as a reference drug. The antimycotic activity of these derivatives was evaluated against different fungal (Candida albicans and Aspergillus niger) strains using Fluconazole as a reference drug. The conclusion of the activity was presented in (Table 13, Yadav et al. [34]).
Anticancer activity
Yurttas et al. [35] developed 2-((1-((4-substituted phenyl) amino)-4,5-dimethyl-1H-imidazol-2-yl)thio)-N-(6-substitutedbenzo[d]thiazol-2-yl)acetamide by using (Scheme 14) and evaluated for antitumor potential by MTT assay against two different cancer cell lines such as C6 (rat glioma) and HepG2 (human liver) using cisplatin as a reference drug. Among the synthesized derivatives compound 20g shows good cytotoxic potential. The conclusion of antitumor potential was presented in (Table 14, Yurttas et al. [35]).
Hsieh et al. [25] synthesized (E)-1-(1-allyl-1H-benzo[d]imidazol-2-yl)-3-(4-substituted phenyl) prop-2-en-1-one by using (Scheme 15) and evaluated for anticancer activity against different cell lines such as A549, MCF-7, HepG2, and OVCAR-3 by MTT assay using cisplatin as a reference drug. The conclusion of anticancer activity was presented in (Table 15, Hsieh et al. [25]).
Roopashree et al. [36] synthesized 2-(5-butyl-3-chloro-1-substituted-1H-pyrrol-2-yl)-1H-benzo[d]imidazole (Scheme 16) and evaluated for antitumor activity against HeLa cancer cell line by using MTT assay. Each compound was tested to calculate the inhibitory concentration and the results of the activity were presented in (Table 16, Roopashree et al. [36]).
Romagnoli et al. [37] developed 2-substituted-1-(3,4,5-trimethoxyphenyl)-1H-imidazole (Scheme 17) and evaluated for anticancer activity against different cancer cell lines such as HeLa, HT-29, A549, MCF-7, Jurkat, and HL-60 using C-A4 as a reference standard. Compounds 28k, 28n, and 28o showed maximum cytotoxicity as compared to others. The conclusion of antitumor potential was presented in (Table 17, Romagnoli et al. [37]).
Rajendran et al. [38] synthesized 1-substituted-2-(5-substituted-1-phenyl-1-H-pyrazol-3-yl)-1H-benzo[d]imidazole and 4-(1-chloro-1H-benzo[d]imidazol-2-yl)-6-fluoropyrimidin-2-amine by using (Scheme 18) and evaluated for antitumor potential against different cell lines such as MCF-7 and CaCo-2 using Fluorouracil as reference drug. Each compound was tested to calculate inhibitory concentration and the conclusion of activity was presented in (Table 18a, b, Rajendran et al. [38]).
Meenakshisundaram et al. [39] synthesized 3-(4-substitutedbenzyl)-6,7-disubstituted-2-(4-(6,7-disubstituted-3-(4-substitutedbenzyl) imidazo[1,2-a] pyridin-2-yl)phenyl)imidazo[1,2-a]pyridine, 3-(4-substituted benzyl)-2-(3-(6,7-disubstituted-3-(4-substitutedbenzyl)imidazo[1,2-a]pyridin-2-yl)phenyl)-6,7-disubstitutedimidazo[1,2-a]pyridine and 6,7-disubstituted-3-(4-substitutedbenzyl)-2-phenylimidazo[1,2-a] pyridine (Scheme 19a–c) and evaluated for antitumor potential against different cell lines such as HeLa, MDA-MB-231 and ACHN by SRB method using adriamycin as a reference drug. The conclusion of antitumor potential was presented in (Table 19, Meenakshisundaram et al. [39]).
Sharma et al. [40] synthesized 1,2-disubstituted-4, 5-diphenyl-1H-imidazole (Scheme 20), and evaluated for antitumor potential by using the tryphan blue dye exclusion technique against different cancer cell lines such as DLA and EAC at different concentration. The conclusion of antitumor potential was presented in (Table 20, Sharma et al. [40]).
Antioxidant activity
Naureen et al. [41] synthesized 3-(4,5-diphenyl-1-(substituted phenyl)-1H-imidazol-2-yl)-substituted-2-(substituted phenyl)-1H-indole (Scheme 21) and evaluated for antioxidant potential by DPPH method using Quercetin as reference drug. Compound 61d shows the highest antioxidant activity as compared to others. The conclusion of antioxidant potential was presented in (Table 21, Naureen et al. [41]).
Rajasekaran et al. [42] synthesized (E)-(1H-benzo[d]imidazol-1-yl)(4-((substituted benzylidene)amino)phenyl)methanone (Scheme 22a), 2-(1H-benzo[d]imidazol-1-yl)-N-(5-phenyl-1,3,4-oxadiazol-2-yl)acetamide (Scheme 22b) and 1-(1H-benzo[d]imidazol-1-yl)-2-((substituted-1,3,4-oxadiazol-2-yl)thio)ethanone (Scheme 22c) and evaluated for antioxidant potential by using DPPH assay. All the synthesized derivatives showed good scavenging potential as compared to ascorbic acid (positive control) and the conclusion of activity was presented in (Table 22, Rajasekaran et al. [42]).
Subramaniam et al. [43] synthesized (Z)-3-(2-(5-(3-methyl benzylidene)-4-oxo-2-phenyl-4, 5-dihydro-1H-imidazol-1-yl) ethyl)-2-phenyl quinazolin-4(3H)-one derivatives (Scheme 23) and evaluated for antioxidant potential by using DPPH assay. These compounds showed good scavenging potential as compared to ascorbic acid (positive control). The conclusion of scavenging potential was presented in (Table 23, Subramaniam et al. [43]).
Katikireddy et al. [21] developed (E)-N'-(7-methyl-2-propyl-1H-benzo[d]imidazole-5-carbonyl) substituted formohydrazonoyl (Scheme 24) and evaluated for antioxidant activity using ascorbic acid as a reference drug. Compound 64n shows the most potent antioxidant activity as compared to others and the results of activity were presented in (Table 24, Katikireddy et al. [21]).
Subhashini et al. [44] synthesized 4-((4-(4,5-diphenyl-1H-imidazol-2-yl)phenoxy)methyl)-1-(2,3,4-trisubstituted phenyl)-1H-1,2,3-triazole derivatives (Scheme 25a, b) and evaluated for antioxidant activity by using four different methods such as Hydrogen peroxide scavenging, Nitric oxide scavenging, DPPH, and FRAP assay. The conclusion of antioxidant potential was presented in (Table 25a–d, Subhashini et al. [44]).
a Synthesis of 4-((4-(4,5-diphenyl-1H-imidazol-2-yl)phenoxy)methyl)-1-(2, 3, 4-trisubstituted phenyl)-1H-1, 2, 3-triazole; b Synthesis of 4-((4-(4,5-diphenyl-1-((1-(2, 3, 4-trisubstituted phenyl)-1H-1, 2, 3-triazole-4-yl)methyl)-1H-imiidazol-2-yl)phenoxy)methyl)-1-(2,3,4-trisubstitutedphenyl)-1H-1,2,3-triazole
Antihypertensive activity
Navarrete-Vazquez et al. [45] synthesized 5-(trifluoromethyl)-2-(2,3,4-trisubstituted phenyl)-1H-benzo[d] imidazole and 5-nitro-2-(2,3,4-trisubstituted phenyl)-1H-benzo [d] Imidazole (Scheme 26) and evaluated for antihypertensive potential in SHR by using the tail-cuff method and the results of antihypertensive activity were summarized in (Table 26, Navarrete-Vazquez et al. [45]).
Hadizadeh et al. [46] synthesized 2-(2-(1H-imidazol-1-yl)ethyl)-4-(1-benzyl-2-(substituted thio)-1H-imidazol-5-yl)-5-(substituted carbonyl)-6-methyl-1, 4-dihydropyridine-3-substituted carboxylic acid (Scheme 27) and evaluated for antihypertensive potential in rats and the results of anti-hypertensive activity were summarized in (Table 27, Hadizadeh et al. [46]).
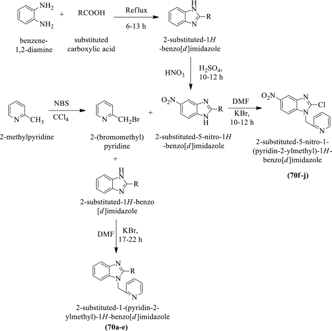
Goyal et al. [22] synthesized 2-substituted-1-(pyridin-2-ylmethyl)-1H-benzo[d]imidazole derivatives (Scheme 28) and evaluated for antihypertensive potential and the results of activity were summarized in (Table 28, Goyal et al. [22]).
Antitubercular activity
Amini et al. [47] synthesized N3-(substituted phenyl)-N5-(substituted phenyl)-4-(4,5-dichloro-1H-imidazol-2-yl)-2-methyl-1, 4-dihydropyridine-3,5-dicarboxamide (Scheme 29) and evaluated for anti-tubercular activity against Mycobacterium tuberculosis strain using rifampicin as reference drug. The conclusion of the anti-tubercular activity was presented in (Table 29, Amini et al. [47]).
Pandey et al. [48] synthesized (E)-3-(4-(7-substituted-3-(substituted amino)imidazo[1,2-a] pyridin-2-yl)phenyl)-1-(substituted phenyl)prop-2-en-1-one (Scheme 30) and evaluated for anti-tubercular potential against Mycobacterium tuberculosis strain by MB 7H10 agar medium using Ethambutol and Pyrazinamide as a reference drug. The conclusion of the activity was presented in (Table 30, Pandey et al. [48]).
Makwane et al. [49] synthesized 10-(2-(substituted phenyl)imidazo[2,1-b][1,3,4]thiadiazol-6-yl)-10H-phenothiazine by using (Scheme 31) and evaluated for antitubercular activity by (L.J) agar method against Mycobacterium tuberculosis H37Rv strain using Isoniazid as reference drug and MIC values of these derivatives were calculated. The conclusion of anti-tubercular activity was presented in (Table 31, Makwane et al. [49]).
Nandha et al. [23] synthesized 2-((1H-imidazol-1-yl)methyl)-6-substituted-5-fluoro-1H-benzo[d]imidazole (Scheme 32) and evaluated for anti-tubercular activity against Mycobacterium tuberculosis strain by MABA assay using Isoniazid as a reference drug. The conclusion of anti-tubercular activity was presented in (Table 32, Nandha et al. [23]).
Nandha et al. [50] synthesized 6-(benzo[d][1,3]dioxol-5-yloxy)-2-substituted-5-fluoro-1H-benzo[d] imidazole (Scheme 33) and evaluated for anti-tubercular activity against Mycobacterium tuberculosis (ATCC27294) by MABA assay using streptomycin, ciprofloxacin, and pyrazinamide as a reference drug. The conclusion of the activity was presented in (Table 33, Nandha et al. [50]).
Gising et al. [51] synthesized 2,5-disubstituted-4-(6-methoxynaphthalen-2-yl)-1H-imidazole by using (Scheme 34). The anti-tubercular potential of these derivatives was evaluated against Mycobacterium tuberculosis strain and MIC values of these derivatives were calculated. The conclusion of anti-tubercular activity was presented in (Table 34, Gising et al. [51]).
Syed et al. [52] synthesized 6-(4-substituted phenyl)-2-(3,5-dimethyl-1H-pyrazol-1-yl)imidazo [2,1-b][1,3,4] thiadiazole (Scheme 35) and evaluated for anti-tubercular potential against Mycobacterium tuberculosis strain. Compounds 80a, 80b, 81a, 82a, and 83a showed the most potent anti-tubercular activity as compared to others. The conclusion of anti-tubercular activity was presented in (Table 35, Syed et al. [52]).
Patel et al. [53] synthesized 6-(substituted phenyl)-2-(1-methyl-1H-imidazol-2-yl) imidazo [2,1-b] [1,3,4] thiadiazole (Scheme 36) and evaluated for anti-tubercular activity against Mycobacterium tuberculosis and MIC values of these derivatives were calculated. The conclusion of anti-tubercular activity was presented in (Table 36, Patel et al. [53]).
Yadav et al. [54] synthesized 2-((1-benzoyl-1H-benzo[d]imidazol-2-yl) thio)-N-(substituted phenyl) acetamide (Scheme 37) and evaluated for anti-tubercular activity against Mycobacterium tuberculosis strain and MIC values of these derivatives were calculated. Streptomycin was used as a reference drug and the results of anti-tubercular activity were presented in (Table 37, Yadav et al. [54]).
Conclusion
In this present review article, we have summarized different pharmacological activities of 1,3-diazole containing compounds. From this study, we have found that 1,3-diazole containing compounds can be synthesized by various kinds of synthetic routes, and these derivatives having a wide range of biological activities such as antitumor, antitubercular, antimicrobial, antihypertensive and antioxidant, etc. This review article established the fact that 1,3-diazole act as useful templates for further modification or derivatization to design more potent biologically active compounds.
Availability of data and materials
All data are provided in the manuscript or cited in the references.
Abbreviations
- AMR:
-
Antimicrobial resistance
- DNA:
-
Deoxyribonucleic acid
- DMF:
-
Dimethylformamide
- TEBA:
-
Triethyl benzyl ammonium chloride
- MTT:
-
3-(4, 5-Dimethylthiazol-2-yl)-2,5-diphenyltetrazolium bromide
- C-A4:
-
Combretastatin-A4
- SRB:
-
Sulforhodamine B assay
- DLA:
-
Dalton’s Lymphoma Ascites cell line
- EAC:
-
Ehrlich’s ascites carcinoma cell lines
- DPPH:
-
2,2-Diphenyl-1-picrylhydrazyl
- FRAP:
-
Ferric reducing ability of plasma
- SHR:
-
Spontaneously hypertensive rats
- MB:
-
Middle brook
- MABA:
-
Microplate Alamar blue assay
- L.J:
-
Lowenstein-Jensen
- IC50 :
-
Half maximal inhibitory concentration
- HeLa:
-
Henrietta Lacks
- TEA:
-
Triethanolamine
- DMSO:
-
Dimethyl sulphoxide
- MIC:
-
Minimum inhibitory concentration
- TBAB:
-
Tetrabutylammonium bromide
- NCFT:
-
National Centre of Fungal Taxonomy
- MLC:
-
Minimum Lethal concentration
- p-TSA:
-
P-Toluenesulfonic acid
- MW:
-
Microwave
- CAN:
-
Cerric ammonium nitrate
- (4-SB) T (4-SPh)PHSO4:
-
(4-Sulfobutyl)tris(4-sulfophenyl) phosphonium hydrogen sulfate
References
- 1.
Narasimhan B, Sharma D, Kumar P, Yogeeswari P, Sriram D (2011) Synthesis, antimicrobial and antimycobacterial evaluation of [2-(substituted phenyl)-imidazol-1-yl]-pyridin-3-yl-methanones. J Enzyme Inhib Med Chem 26(5):720–727
- 2.
Brahmbhatt H, Molnar M, Pavić V (2018) Pyrazole nucleus fused tri-substituted imidazole derivatives as antioxidant and antibacterial agents. Karbala Int J Mod Sci 4(2):200–206
- 3.
Reyes-Arellano A, Gómez-García O, Torres-Jaramillo J (2016) Synthesis of azolines and imidazoles and their use in drug design. Med Chem (Los Angeles) 6:561–570
- 4.
Verma A, Joshi S, Singh D (2013) Imidazole: having versatile biological activities. New J Chem. https://doi.org/10.1155/2013/329412
- 5.
Bhatnagar A, Sharma PK, Kumar N (2011) A review on “Imidazoles”: Their chemistry and pharmacological potentials. Int J Pharm Tech Res 3(1):268–282
- 6.
Gueiffier A, Mavel S, Lhassani M, Elhakmaoui A, Snoeck R, Andrei G, Chavignon O, Teulade JC, Witvrouw M, Balzarini J, De Clercq E (1998) Synthesis of imidazo [1, 2-a] pyridines as antiviral agents. J Med Chem 41(25):5108–5112
- 7.
Kumar M, Kumar D, Raj V (2017) Studies on Imidazole and its derivatives with particular emphasis on their chemical/biological applications as bioactive molecules/intermediated to bioactive molecule. Curr Synth Syst Biol 5(01):1–10
- 8.
Zala SP, Badmanaban R, Sen DJ, Patel CN (2012) Synthesis and biological evaluation of 2,4,5-triphenyl-1H-imidazole-1-yl derivatives. J Appl Pharm Sci 2(7):22
- 9.
Atanasova-Stamova SY, Georgieva SF, Georgieva MB (2018) Reaction strategies for synthesis of imidazole derivatives: a review. Scr Sci Pharm 5(2):7–13
- 10.
Gupta P, Gupta JK (2015) Synthesis of bioactive imidazoles: a review. Int J Modern Chem 7(2):60–80
- 11.
Shrivastava TP, Patil UK, Garg S, Singh MA (2013) Diverse pharmacological significance of imidazole derivatives-a review. Res J Pharm Tech 6(1):5
- 12.
Manocha P, Wakode DS, Kaur A, Anand K, Kumar H (2016) A review: Imidazole synthesis and its biological activities. Int J Pharm Sci Res 1(7):12–16
- 13.
Srestha N, Banerjee J, Srivastava S (2014) A review on chemistry and biological significance of benzimidazole nucleus. IOSR J Pharm 4(12):28–41
- 14.
Romero DH, Heredia VET, García-Barradas O, López MEM, Pavón ES (2014) Synthesis of imidazole derivatives and their biological activities. J Chem Biochem 2(2):45–83
- 15.
Anand K, Wakode S (2017) Development of drugs based on benzimidazole heterocycle: recent advancement and insights. J Chem Biol 5(2):350–362
- 16.
Verma BK, Kapoor S, Kumar U, Pandey S, Arya P (2017) Synthesis of new imidazole derivatives as effective antimicrobial agents. Indian J Pharm Biol Res 5(01):1–9
- 17.
Sharma GK, Pathak D (2010) Microwave-assisted, solvent-free and parallel synthesis of some novel substituted imidazoles of biological interest. Chem Pharm Bull 58(3):375–380
- 18.
Bhade MW, Rajput PR (2016) Design and synthesis of some imidazole derivatives containing 4-(3, 5-dichloro-2-hydroxyphenyl) imidazole moiety as antibacterial agents. Int J Appl Pure Sci Agric 2(11):80–84
- 19.
Salman AS, Abdel-Aziem A, Alkubbat MJ (2015) Design, synthesis of some new thio-substituted imidazole and their biological activity. Am J Org Chem 5:57–72
- 20.
Behmaram B, Foroughifar N, Foroughifar N, Hallajian S (2017) Synthesis of some derivatives of 4-phenyl-1, 3-dihydro-2H-imidazole-2-thion using ionic liquid as catalyst and evaluation of their antimicrobial activity. Int J Chem 9(2):45–51
- 21.
Katikireddy R, Kakkerla R, Krishna MM, Durgaiah G, Reddy YN, Satyanarayana M (2019) Synthesis and biological evaluation of (E)-N’-benzylidene-7-methyl-2-propyl-1H-benzo [d] imidazole-5-carbohydrazides as antioxidant, anti-inflammatory and analgesic agents. Heterocycl Commun 25(1):27–38
- 22.
Goyal A, Singh J, Pathak DP (2013) Synthesis and pharmacological evaluation of some novel imidazole derivatives for their potential anti-hypertensive activity. J Pharm Tech Res Manag 1:69–79
- 23.
Nandha B, Nargund LG, Nargund SL, Bhat K (2017) Design and synthesis of some novel fluorobenzimidazoles substituted with structural motifs present in physiologically active natural products for antitubercular activity. Iran J Pharm Res 16(3):929
- 24.
El-Aal EA, Fattah HA, Osman N, Seliem I (2015) Synthesis of novel imidazole and fused imidazole derivatives as cytotoxic and antimicrobial agents: molecular docking and biological evaluation. Int J Pharm Sci 7(10):36–45
- 25.
Hsieh CY, Ko PW, Chang YJ, Kapoor M, Liang YC, Chu HL, Lin HH, Horng JC, Hsu MH (2019) Design and synthesis of benzimidazole-chalcone derivatives as potential anticancer agents. Molecules 24(18):3259
- 26.
Subrahmanyam RS, Ramesh P, Krishna BS, D. Swaroop S, Khan MA, Darla MM, Adeepa K, Bhaskar BV, Rajendra W and Anna VR, (2017) Synthesis and biological evaluation of some new class of chromenoimidazole derivatives as probable anti-cancer agents. Rasayan J Chem 10(4):1194–1212
- 27.
Banothu J, Gali R, Velpula R, Bavantula R (2013) Bronsted acidic ionic liquid catalyzed an efficient and eco-friendly protocol for the synthesis of 2, 4, 5-trisubstituted-1H-imidazoles under solvent-free conditions. Arab J Chem. https://doi.org/10.1016/j.arabjc.2013.10.022
- 28.
Jain AK, Ravichandran V, Sisodiya M, Agrawal RK (2010) Synthesis and antibacterial evaluation of 2–substituted–4, 5–diphenyl–N–alkyl imidazole derivatives. Asian Pac J Trop Med 3(6):471–474
- 29.
Parab RH, Dixit BC, Desai DJ (2011) Synthesis, characterization and antimicrobial activity of imidazole derivatives. Asian J Chem 23(6):2725
- 30.
Ahsan I, Sharma KK (2015) Pharmacological evaluation of newly synthesized imidazole derivatives containing 2-(2-hydroxyphenyl)-4, 5-diphenyl imidazole moiety. J Pharm Innov 4(3 Part B):68
- 31.
Desai NC, Maheta AS, Rajpara KM, Joshi VV, Vaghani HV, Satodiya HM (2014) Green synthesis of novel quinoline based imidazole derivatives and evaluation of their antimicrobial activity. J Saudi Chem Soc 18(6):963–971
- 32.
Shobhashana PG, Prasad P, Kalola AG, Patel MP (2018) Synthesis of imidazole derivatives bearing quinoline nucleus catalyzed by can and their antimicrobial, antitubercular and molecular docking studies. Res J Life Sci Bioinform Pharm Chem Sci 4(3):175
- 33.
Selvan S, Agalya R, Maruthamuthu SR, Ruby C, Stell P (2015) Characterization and antimicrobial activity of newly synthesized benzimidazolyl compounds with docking studies. World J Pharm Res 5(2):600–607
- 34.
Yadav S, Narasimhan B, Lim SM, Ramasamy K, Vasudevan M, Shah SAA, Selvaraj M (2017) Synthesis, characterization, biological evaluation and molecular docking studies of 2-(1H-benzo [d] imidazol-2-ylthio)-N-(substituted 4-oxothiazolidin-3-yl) acetamides. Chem Cent J 11(1):137
- 35.
Yurttas L, Ertas M, Ciftci GA, Temel HE, Demirayak S (2017) Novel benzothiazole based imidazole derivatives as new cytotoxic agents against glioma (C6) and liver (HepG2) cancer cell lines. ACTA Pharm Sci. https://doi.org/10.23893/1307-2080.APS.0553
- 36.
Roopashree R, Mohan CD, Swaroop TR, Jagadish S, Rangappa KS (2014) Synthesis, characterization, and in vivo biological evaluation of novel benzimidazoles as potential anticancer agents. Asian J Pharm Clin Res 7(5):309–313
- 37.
Romagnoli R, Baraldi PG, Prencipe F, Oliva P, Baraldi S, Tabrizi MA, Lopez-Cara LC, Ferla S, Brancale A, Hamel E, Ronca R (2016) Design and synthesis of potent in vitro and in vivo anticancer agents based on 1-(3′, 4′, 5′-trimethoxyphenyl)-2-aryl-1H-imidazole. Sci Rep 6:26602
- 38.
Rajendran SS, Geetha G, Venkatanarayanan R, Santhi N (2017) Synthesis, characterization and in-vitro anticancer evaluation of novel benzo [D] imidazole derivatives. Int J Pharm Sci Res 8(7):3014–3024
- 39.
Meenakshisundaram S, Manickam M, Pillaiyar T (2019) Exploration of imidazole and imidazopyridine dimers as anticancer agents: Design, synthesis, and structure–activity relationship study. Arch Pharm. https://doi.org/10.1002/ardp.201900011
- 40.
Sharma GK, Sharma NK, Pathak D (2013) Microwave irradiated synthesis of some substituted imidazole derivatives as potential antibacterial and anticancer agents. Indian J Chem 52B:266–272
- 41.
Naureen S, Ijaz F, Munawar MA, Asif N, Chaudhry F, Ashraf M, Khan MA (2017) Synthesis of tetrasubstitutedimidazoles containing indole and their antiurease and antioxidant activities. J Chil Chem Soc 62(3):3583–3587
- 42.
Rajasekaran S, Rao G, Chatterjee A (2012) Synthesis, anti-inflammatory and anti-oxidant activity of some substituted benzimidazole derivatives. Int J Drug Dev Res 4:303–309
- 43.
Subramaniam R, Rao G, Pai S, Virya GK, Sodhi GS (2010) Synthesis and in vitro study of biological activity of 2, 3-substituted quinazolin-4 (3H)-ones. J Chem Pharm Res 2(2):462–468
- 44.
Subhashini NJP, Kumar EP, Gurrapu N, Yerragunta V (2019) Design and synthesis of imidazolo-1, 2, 3-triazoles hybrid compounds by microwave-assisted method: evaluation as an antioxidant and antimicrobial agents and molecular docking studies. J Mol Struct 1180:618–628
- 45.
Navarrete-Vazquez G, Hidalgo-Figueroa S, Torres-Piedra M, Vergara-Galicia J, Rivera-Leyva JC, Estrada-Soto S, León-Rivera I, Aguilar-Guardarrama B, Rios-Gómez Y, Villalobos-Molina R, Ibarra-Barajas, (2010) Synthesis, vasorelaxant activity and antihypertensive effect of benzo [d] imidazole derivatives. Bioorg Med Chem 18(11):3985–3991
- 46.
Hadizadeh F, Hassanabad ZF, Bamshad M, Poorsoghat H, Hassanabad MF (2005) Synthesis and antihypertensive activity of new 1, 4-dihydropyridines. Indian J Chem 44B:2343–2347
- 47.
Amini MO, Navidpour L, Shafiee A (2008) Synthesis and antitubercular activity of new N, N-diaryl-4-(4, 5-dichloroimidazole-2-yl)-1, 4-dihydro-2, 6-dimethyl-3, 5-pyridine dicarboxamides. Daru J Pharm Sci 16(1):9–12
- 48.
Pandey AK, Sharma R, Purohit P, Dwived R, Chaturvedi V, Chauhan P (2016) Synthesis of pyrido [1,2-a] imidazo-chalcone via 3-component Groebke-Blackburn-Bienayme reaction and their bioevaluation as potent antituberculosis agents. J Chem Biol 6(5):3350–3355
- 49.
Makwane S, Dua R (2018) Synthesis and antitubercularacitivity of New imidazo [2,1-B][1, 3, 4]-thiadiazole-phenothiazine derivatives. Arc Org Inorg Chem Sci 3(4):391–397
- 50.
Nandha B, Nargund LVG, Nargund SL, Kuntal H (2014) Design and synthesis of imidazolylmethyl substituted fluorobenzimidazoles for antitubercular and antifungal activity. J Chem Pharm Res 6(1):530–539
- 51.
Gising J, Nilsson MT, Odell LR, Yahiaoui S, Lindh M, Iyer H, Sinha AM, Srinivasa BR, Larhed M, Mowbray SL, Karlén A (2012) Trisubstitutedimidazoles as Mycobacterium tuberculosis glutamine synthetase inhibitors. J Med Chem 55(6):2894–2898
- 52.
Syed MA, Ramappa AK, Alegaon S (2013) Synthesis and evaluation of antitubercular and antifungal activity of some novel 6-(4-substituted aryl)-2-(3, 5-dimethyl-1H-pyrazol-1-yl)imidazo[2,1-b][1,3,4]-thiadiazole derivatives. Asian J Pharm Clin Res 6(3):47–51
- 53.
Patel HM, Noolvi MN, Sethi NS, Gadad AK, Cameotra SS (2017) Synthesis and antitubercular evaluation of imidazo[2,1-b][1,3,4]-thiadiazole derivatives. Arab J Chem 10:S996–S1002
- 54.
Yadav S, Lim SM, Ramasamy K, Vasudevan M, Shah SAA, Mathur A, Narasimhan B (2018) Synthesis and evaluation of antimicrobial, antitubercular and anticancer activities of 2-(1-benzoyl-1H-benzo[d]imidazol-2-ylthio)-N-substituted acetamides. Chem Cent J 12(1):66
Acknowledgements
Thanks to Head Prof. Sanju Nanda, Department of Pharmaceutical Sciences, M.D.U, Rohtak for providing library and internet facilities, etc.
Funding
No funding was obtained for this study.
Author information
Affiliations
Contributions
PKV-endeavored and accomplished the scheme; AS-completed review work and wrote the manuscript. Both authors read and approved the final manuscript.
Corresponding author
Ethics declarations
Ethics approval and consent to participate
Not applicable.
Competing interests
The authors have no conflicts of interest.
Additional information
Publisher's Note
Springer Nature remains neutral with regard to jurisdictional claims in published maps and institutional affiliations.
Rights and permissions
Open Access This article is licensed under a Creative Commons Attribution 4.0 International License, which permits use, sharing, adaptation, distribution and reproduction in any medium or format, as long as you give appropriate credit to the original author(s) and the source, provide a link to the Creative Commons licence, and indicate if changes were made. The images or other third party material in this article are included in the article's Creative Commons licence, unless indicated otherwise in a credit line to the material. If material is not included in the article's Creative Commons licence and your intended use is not permitted by statutory regulation or exceeds the permitted use, you will need to obtain permission directly from the copyright holder. To view a copy of this licence, visit http://creativecommons.org/licenses/by/4.0/. The Creative Commons Public Domain Dedication waiver (http://creativecommons.org/publicdomain/zero/1.0/) applies to the data made available in this article, unless otherwise stated in a credit line to the data.
About this article
Cite this article
Siwach, A., Verma, P.K. Synthesis and therapeutic potential of imidazole containing compounds. BMC Chemistry 15, 12 (2021). https://doi.org/10.1186/s13065-020-00730-1
Received:
Accepted:
Published:
Keywords
- 1
- 3-diazole
- Antibacterial
- Antitumor
- Antioxidant
- Antitubercular







































