- Review
- Open Access
- Published:
A review on quinoline derivatives as anti-methicillin resistant Staphylococcus aureus (MRSA) agents
BMC Chemistry volume 14, Article number: 17 (2020)
Abstract
Methicillin Resistant Staphylococcus aureus (MRSA) consists of strains of S. aureus which are resistant to methicillin. The resistance is due to the acquisition of mecA gene which encodes PBP2a unlike of any PBPs normally produced by S. aureus. PBP2a shows unusually low β-Lactam affinity and remains active to allow cell wall synthesis at normally lethal β-Lactam concentrations. MRSA can cause different types of infections like Healthcare associated MRSA, Community associated MRSA and Livestock associated MRSA infections. It causes skin lesions, osteomyelitis, endocarditis and furunculosis. To treat MRSA infections, only a few options are available like vancomycin, clindamycin, co-trimoxazole, fluoroquinolones or minocycline and there is a dire need of discovering new antibacterial agents that can effectively treat MRSA infections. In the current review, an attempt has been made to compile the data of quinoline derivatives possessing anti-MRSA potential reported to date.

Introduction
Staphylococcus aureus, a Gram-positive bacterium, is a member of the family Micrococcaceae, whose cells tend to occur either singly or if dividing cells do not separate, form pairs, tetrads and distinctive irregular “grape-like” structures [1]. Staphylococcus aureus is a very important bacterium because it can cause a wide range of diseases such as rashes, inflammations of bones and the meninges as well as septicemia and has a capacity to adapt to different environments [2].
Prevalence of methicillin resistant Staphylococcus aureus (MRSA)
In 1965, MRSA infection in Australia was first recorded in Sydney. First case of hospital MRSA in the United States was reported in Boston in 1968. The first methicillin strain of S. aureus was identified in Europe in the United Kingdom. Till 1970s, MRSA infections in Europe were limited to hospital outbreaks. In Japan, MRSA was detected for first time in 2003. In 2011, China showed a mean MRSA rate of 45.8% among all clinical S. aureus isolates [3].
India is also not an exception in this aspect and high prevalence of MRSA is an emerging health problem. MRSA prevalence in India has significantly increased from 12% in 1992 to 40% in 2009 [4] with minimum incidence of 25% in western India and maximum of 50% in South India [5]. Bouchiat et al. Found that 54.8% of the total S. aureus isolates among samples from a hospital in eastern Uttar Pradesh were methicillin resistant. Further, 57.3% of the blood cultures from a Neonatal Intensive Care Unit in Amritsar were methicillin resistant [6].
MRSA infection may be of three types i.e. Healthcare associated MRSA (HA-MRSA), Community associated MRSA (CA-MRSA) and Livestock associated MRSA (LA-MRSA). Vysakh and Jeya performed a comparative analysis of community acquired and hospital acquired methicillin resistant Staphylococcus aureus on 450 Staphylococcus aureus isolates and found that out of 450 isolates, 121 (27%) were methicillin resistant Staphylococcus aureus (MRSA) containing 91 (20%) HA-MRSA and 30 (7%) CA-MRSA [7].
Kali et al. studied resistance pattern of methicillin resistant Staphylococcus aureus on one hundred two clinical isolates of MRSA and found that MRSA isolates showed high resistance to co-trimoxazole (82.3%), ciprofloxacin (76.4%), gentamicin (64.7%) and tetracycline (49%) as compared to other drugs [4].
Healthcare associated MRSA (HA-MRSA)
HA-MRSA means MRSA isolates from hospitals and are gradually increasing round the globe. The rate of HA-MRSA infections is high (> 50%) in USA, Asia and Malta. Asian countries like South Korea (77.6%), Vietnam (74.1%), Taiwan (65%) and Hong Kong (56.8%) have higher incidence of HA-MRSA infections. Intermediate rate (25–50%) is reported in Africa, China and Europe. In HA-MRSA, anterior nare is the usual site for MRSA colonization. Hands, perineal region, skin wounds, throat, genitourinary tract and the digestive tract may also colonize MRSA. Generally, HA-MRSA results in dermatitis, septicemias, heart and lung diseases. Risk factors for HA-MRSA include hospitalization, surgery, dialysis and previous history of MRSA infection [2].
Community associated MRSA (CA-MRSA)
Community associated means MRSA isolates from community living away from hospital settings. In 1993, first case of CA-MRSA was reported in Western Australia. Military personnel, prison inmates, athletes, intravenous drug users are at high risk for CA-MRSA. Elderly, children, patients having implanted medical devices, people suffering from diseases like diabetes or neutrophil dysfunction, HIV/AIDS and influenza are also at high risk for CA-MRSA infection [8].
Livestock associated MRSA (LA-MRSA)
MRSA was considered as a human infection until when it was isolated in a dairy cow with mastitis and in pigs [2]. MRSA can transfer from humen to animals and vice versa. Voss et al. reported 23% of pig farmers infected with MRSA from a pig farm in the Netherlands [9] and VanRijen et al. found 32% of farm workers colonized with MRSA [10]. This overcoming of the genus barrier by LA-MRSA strains indicates its host adaptability and shows that livestock animals can serve as a reservoir for infections in humen [8].
Main text
Mechanism of resistance
β-Lactam antibiotics inhibit penicillin binding proteins which lead to weakened cell wall and ultimately the cell death. Methicillin resistance in the MRSA strain is due to the acquisition of mec element and mecA gene which encodes PBP2a unlike of any PBPs normally produced by S. aureus; mec element codes for recombinase proteins causing excision and integration of mec element in bacterial chromosome. MecI and MecR1 proteins regulate the synthesis of PBP2a, former being a signal transduction protein and later is a transcription regulator [1]. PBP2a shows unusually low β-Lactam affinity and remains active to allow cell wall synthesis at normally lethal β-Lactam concentrations [11].
Quinoline derivatives as anti-MRSA agents
Quinoline is a versatile heterocyclic moiety having diverse spectrum of biological activities including anti- Alzheimer’s [12], anticancer [13], anticonvulsant [14], antidiabetic [15], antihypertensive [16], anti-inflammatory [17], antimicrobial [18] and ubiquitination inhibition [19] activities. In this review we hereby report anti-MRSA activity of quinoline derivatives reported so far.
Fu et al. synthesized a series of quinoline derivatives as broad-spectrum antibacterial agents. The antibacterial activity of the synthesized compounds against panel of bacterial strains including resistant strains. The synthesized compounds displayed good antibacterial activity against both Gram negative and positive bacterial strains. Compound 1 (a derivative of ciprofloxacin) emerged as most potent antibacterial agent of the series having MIC value 8 µg/mL against MRSA strain ATCC33591 (Table 1) [20].
Zheng et al. carried out antibacterial evaluation of a series of benzofuroquinolinium derivatives as FtsZ polymerization inhibitors which inhibits cell division and causes cell death. All the five compounds were tested against a panel of bacterial strains including resistant strains. Among the tested compounds, 2 was most potent anti-MRSA agent having MIC values 1, 1, 1, 1 and 0.5 µg/mL against MRSA strains ATCC 43300, BAA-41, 33591, BAA-1720 and 33592 respectively and exerted its effect by inhibiting cell-division protein FtsZ (Table 2) [21].
Teng et al. synthesized a series of quinoline derivatives as antibacterial agents. The synthesized compounds were tested for their antibacterial activity against resistant bacterial strains viz. MRSA, MRSE and VRE. Antibacterial activity results indicated that compound 3 was most potent anti-MRSA agent having MIC value 1.5 µg/mL (Table 3) [22].
Sun et al. synthesized a series of N-methylbenzofuro[3,2-b]quinoline and N-methylbenzoindolo[3,2-b]-quinoline derivatives and evaluated it’s in vitro antibacterial activity against B. subtilis 168, S. aureus ATCC 29213, S. aureus ATCC BAA41 (MRSA), E. faecium ATCC 49624, E. faecium ATCC 700221 (vancomycin-resistant strain), E. coli ATCC 25922, E. coli ATCC BAA2469 (expressing NDM-1 beta-lactamase), P. aeruginosa ATCC BAA2108 (multidrug-resistant strain) and K. pneumonia ATCC BAA2470 (expressing NDM-1 beta-lactamase). Antibacterial acivity results indicated that compounds 4–6 (MIC = 2 µg/mL) were found to be most potent antibacterial agents and were almost 100 times more potent than standard drugs berberine (MIC = 192 µg/mL) and methicillin (MIC > 192 µg/mL). These compounds inhibited the GTPase activity and polymerization of FtsZ causing abnormal cell division and cell death (Table 4) [23].
Yang et al. synthesized a series of 9-bromo substituted indolizinoquinoline-5,12-dione derivatives and screened its antibacterial activity against gram-negative and gram-positive bacterial strains including 100 clinical MRSA strains. Antibacterial evaluation results indicated that the synthesized compounds displayed good antibacterial activity and compound 7 (6-Morpholinohexyl 9-bromo-5,12-dioxo-5,12-dihydroindolizino[2,3-g]quinolone-6-carboxylate) was found to be most potent antibacterial agent against clinical MRSA strains having both MIC50 and MIC90 values lower than 7.8 ng/mL. Compound 8 (6-(Piperidin-1-yl)hexyl-9-bromo-5,12-dioxo-5,12-dihydro-indolizino[2,3-g]quinoline-6-carboxylate), having water solubility of 1.98 mg/mL was also found to be very potent against clinical MRSA strains with MIC50 value of 63 ng/mL and MIC90 value of 125 ng/mL, 16-fold higher than that of vancomycin (MIC50 = 1 µg/mL and MIC90 = 2 µg/mL) (Table 5) [24].
Challa et al. synthesized series of indolo[2,3-b]quinolines, Chromeno[2,3-b]indoles, and 3-Alkenyl-oxindoles from 3,3′-Diindolylmethanes. The synthesized compounds were tested in vitro for their antibacterial activity against a panel of Gram positive and negative bacterial strains including MRSA. The results indicated that compound 9 was found to be most potent anti-MRSA agent having MIC value 2 µg/mL against MRSA strain MRSA-ATCC33591 and 1 µg/mL against MRSA-R3545, MRSA-R3889 and MRSA-R3890 (Table 6) [25].
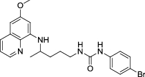
Dolan et al. reported the synthesis and antibacterial evaluation of a series of thiourea-containing compounds. All the synthesized compounds were evaluated for their bacteriostatic activity against E. coli, P. aeruginosa and S. aureus. Antibacterial activity results indicated that compound 10 (1-(3,5-Bis(trifluoromethyl)phenyl)-3-((S)-(6-methoxyquinolin-4-yl)-((1S,2S,4S,5R)-5-vinylquinuclidin-2-yl)methyl)thiourea), was the most active antibacterial agent and exhibited bacteriostatic activity against methicillin resistant Staphylococcus aureus (MRSA, MIC50 = 11.44 µM, MIC90 = 17.74 µM) (Table 7). Compound 10 was also evaluated for its in vivo toxicity using the larvae of the Greater wax moth, Galleria mellonella and was found to be non-toxic to the larvae of Galleria mellonella up to 1000 µg/mL [26].
Perkovic et al. designed and synthesized a series of novel compounds with primaquine and hydroxyl or halogen substituted benzene moieties bridged by urea or bis-urea moiety using benzotriazole as the synthon. The synthesized compounds were tested in vitro for their antimicrobial activity against a panel of 15 bacterial strains and a fungal strain, C. albicans using primaquine and tetracycline hydrochloride (TC) or voriconazole (VOR) as standard drugs. Antimicrobial activity results showed that only four compounds (11–14) were having good antibacterial/antifungal effect. The most potent compound, 14 was having MIC value ranged from 1.6 to 12.5 µg/mL against the selected bacterial strains including MSSA [27].
Takahashi et al. examined effect of indolo[3,2-b]quinoline derivatives on hemolysis induced by the aerolysin-like hemolysin (ALH) of Aeromonas sobria and also by the alpha hemolysin of Staphylococcus aureus. They observed that hemolysis induced by ALH was significantly reduced by all four derivatives while alpha mediated hemolysis was significantly reduced by three of them. Compounds 15 and 16 having amino group at the C-11 position of indolo[3,2-b]quinoline, showed strong ALH inhibitory activity and compound 17 consisting benzofuran and quinoline displayed strong alpha-hemolysin inhibitory effects [28].
![]() | ![]() | ![]() |
| 11 | 12 | 13 |
![]() | ![]() | ![]() |
| 14 | 15 | 16 |
Wang et al. synthesized a series of 2-phenyl-quinoline-4-carboxylic acid derivatives and evaluated their antibacterial activities against Escherichia coli, Pseudomonas aeruginosa, Staphylococcus aureus, Bacillus subtilis and one strain of methicillin-resistant Staphylococcus aureus (MRSA) by the agar diffusion and broth dilution method, which indicated that compound 18 was most potent compound against MRSA having zone of inhibition 5 ± 0.5 and 6 ± 0.2 mm at 50 and 100 µg/mL respectively. Further, MTT assay displayed the low cytotoxicity of compound 18 [29].
![]() | ![]() |
| 17 | 18 |
Zhang et al. synthesized a series of benzimidazole quinolones as potential antimicrobial agents. The synthesized compounds were screened for their antimicrobial activity against a group of Gram positive and Gram negative bacterial strains. The compounds were designed with an aim to overcome the resistance against quinolones. Literature studies reveal that C-7 position of quinolones is in closed proximity to the Arg456 in the topoIV-DNA complex, mutation in which leads to resistance making the quinolone C-7 position a site of strategic importance in overcoming the resistance. Moreover substituents at C-7 influence the cell permeability and effect the bacterial resistance. In order to modify quinolone C-7 position, benzimidazole moiety was introduced. Antibacterial activity results showed that compounds 19–22 were found to be the most potent antibacterial agents against MRSA, each having MIC value 0.125 µg/mL (Table 8). Compounds 19–22 intercalated DNA by forming complex with it and blocked its replication especially by interaction with Ser79 [30].
Zhao et al. synthesized a series of indoloquinoline analogs including Indolo[3,2-b]quinolone, 4-(acridin-9-ylamino) phenol hydrochloride, benzofuro[3,2-b]quinoline and indeno[1,2-b]quinolones. The synthesized compounds were screened for their anti-MRSA activity against OM481 and OM584 strains. Results indicated that Indolo[3,2-b]quinoline analog (23) and benzofuro[3,2-b]quinoline (24) were most potent anti-MRSA agents, both having MIC values 2 µg/mL against both MRSA strains (Table 9) [31].
Huang et al. synthesized a series of levofloxacin core-based derivatives and were screened them for their antimicrobial activity against selected bacterial strains. Antibacterial screening results indicated that compounds 25–28 were most potent anti-MRSA agents each having MIC value 1 µg/mL (Table 10) [32].
Zhang et al. designed and synthesized a series of fluoroquinolone derivatives containing 3-alkoxyimino-4-(cyclopropylanimo)methylpyrrolidine moiety and evaluated their antibacterial activity against a panel of Gram-negative and Gram-positive strains. The antibacterial activity results indicated that compound 29 was found to be most potent MRSA inhibitor having MIC values of 2 µg/mL against both MRSA 14-4 and 14-5 strains (Table 11) [33].
Cui et al. designed and synthesized a novel series of hybrids of metronidazole and quinolones and evaluated their antibacterial activities against Gram-positive bacteria (S. aureus ATCC 6538, Methicillin-resistant Staphylococcus aureus N315 (MRSA) and B. subtilis ATCC 21216), Gram-negative bacteria (E. coli ATCC 8099, P. aeruginosa ATCC 27853 and B. proteus ATCC 13315). The compounds were designed with an aim to overcome the resistance against quinolones. Literature studies reveal that N-1 position of quinolones is in closed proximity to the residues Ser79 and Asp83 in the topoIV-DNA complex, mutation in which leads to resistance making the quinolone N-1 position a site of strategic importance in overcoming the resistance. In order to modify quinolone N-1 position, nitroimidazole moiety was introduced based on their previous studies with a possibility of its non-covalent interactions with DNA base and thus overcoming the resistance. The antibacterial activity results indicated that compound 30 was most potent anti-MRSA agent with MIC value 1 µg/mL and was more potent than standard drugs chloromycin and norfloxacin (MIC values 8 and 2 µg/mL respectively, Table 12). Mechanism of action of compound 30 was investigated by studying its interactions with calf thymus DNA which showed non-covalent interaction between compound 30 and topo IV DNA complex, especially hydrogen bonds between compound 30 and Ser79 [34].
Abouelhassan et al. synthesized a series of quinoline derivatives having potent biofilm dispersal activity against methicillin-resistant S. aureus. They found that 9 out of 11 synthesized compounds were having better biofilm clearing activity than standard drug nitroxoline (Ec50 value 10.5 µM) and compound 31 was most potent and effective in clearing the biofilm established by MRSA-2 strain with an EC50 value 2.06 µM (Table 13) [35].
Cui et al. synthesized a novel series of quinolone triazoles and characterized it by using spectral techniques. The compounds were designed based on the results of their previous study indicating the importance of triazolyl ethanol moiety in the C-7 side chain of ciprofloxacin. Introduction of triazole ring at N-1 position of quinolones also improved their antimicrobial activity. Based on the improved antimicrobial activity of hybrid compounds containing quinolone and triazole moiety, triazolyl ethanol fragment into the N-1 position was incorporated. The synthesized compounds were screened for their antimicrobial activities against seven bacterial and four fungal strains including MRSA. The antibacterial activity results indicated that compound 32 was found to be most potent antibacterial agent against MRSA with an MIC value of 0.5 µg/mL (Table 14). Mechanism of action of compound 32 was investigated by studying its interactions with calf thymus DNA by fluorescence and UV–vis absorption spectroscopy results of which indicated that compound 32 intercalated DNA by forming complex with it and blocked its replication [36].
Guo et al. synthesized three series of rhodanine derivatives bearing a quinoline moiety and evaluated their antibacterial activity against a panel of Gram positive and Gram negative strains including clinical isolates of multidrug-resistant Gram-positive strains. The aim of the study was to modulate hydrophobicity of the rhodanine derivatives by changing the substituents at 3 and 5 positions and their effect on enzyme binding affinity. The compounds were designed based on the results of their previous study. The antibacterial activity results indicated that compounds 33–36 were most potent anti-MRSA agents, each having MIC value 1 µg/mL against both MRSA 3167 and 3506 strains and were equipotent to standard drug moxifloxacin and more potent than norfloxacin, gatifloxacin and oxacilin (Table 15) [37].
Bolden Jr. et al. synthesized 3-substituted benzylthioquinolinium iodide derivatives and evaluated their antimicrobial activity against selected fungal strains including resistant strains (MRSA) and pathogenic opportunistic bacterial strains, results of which indicated that compound 37 was most potent anti-MRSA agent having IC50, MIC and MBC values 0.06, 0.16 and 0.31 µg/mL respectively (Table 16) [38].
Cieslik et al. synthesized a series of new ring-substituted styrylquinolines and two oxorhenium complexes. The synthesized compounds were screened for their antimicrobial potential against a panel of bacterial and fungal strains which indicated that compound 38 was the most potent anti-MRSA agent having MIC/IC90 value of 3.9 and 7.81 µmol/mL at 24 and 48 h respectively and was more potent to all standard drugs bacitracin, penicillin V and ciprofloxacin (Table 17) [39].
Sevgi et al. synthesized novel glyoximes containing quinoline moiety. The antibacterial activity of synthesized compounds was tested against selected bacterial strains. The antibacterial activity results indicated that only compound 39 showed good anti-MRSA activity (zone of inhibition = 12 mm) and was equipotent with standard drugs Amoxicillin/Clavulanic acid and Gentamicin (Table 18) [40].
Wu et al. synthesized a series of 9-bromo-substituted indolizinoquinoline-5,12-dione derivatives. The synthesized compounds were evaluated for their antimicrobial activity against representative bacterial and fungal strains. The antimicrobial activity results indicated that compound 40 was found to be most potent anti-MRSA agent (MIC = 0.031 µg/mL) (Table 19) [41].
Chai et al. synthesized a series of novel gatifloxacin derivatives and characterized the synthesized compounds by using spectral techniques like 1H NMR, 13C NMR, MS and HRMS. The synthesized compounds were screened in vitro for their antibacterial potential against representative strains including MRSA and MRSE (Methicillin resistant Staphylococcus epidermidis). The antibacertial activity results revealed that the synthesized compounds were less active than parent compound, gatifloxacin and only compound 41 (MIC = 0.125 µg/mL) was equipotent with gatifloxacin (Table 20) [42].
O’Donnell et al. reported antibacterial activity of 60 synthetic and naturally occurring quinolines against six Gram positive and Gram negative strains including MRSA. The antibacterial activity results indicated that compound 42 was most potent anti-MRSA agent having MIC value 0.39 µg/mL, was more potent than standard drugs oxacillin, vancomycin and trimethoprim (Table 21). The compound 42 was found to be DNA topoisomerase IV inhibitor [43].
Lv et al. synthesized several amphiphilic cationic quinine-derived compounds and evaluated their in vitro antibacterial activity against different Gram positive and negative bacterial strains including methicillin-resistant Staphylococcus aureus. Compound 43 was found to be the best anti-MRSA agent having MIC values ranging from 0.39 to 0.78 µg/mL and MBC value 1.56 µg/mL against tested MRSA strains (Table 22) [44].
Wiles et al. synthesized a series of 9H-isothiazolo[5,4-b]quinoline-3,4-diones (ITQs) having aromatic substituent at the 7-position, using palladium-catalyzed cross-coupling. The antibacterial activity of synthesized compounds was assessed against Gram-positive and Gram-negative organisms. Antibacterial activity results indicated that in general, the synthesized compounds were more effective against Gram-positive than Gram-negative bacterial strains. Compounds 44 and 45 were most potent anti-MRSA agents, both having MIC value 0.125 µg/mL (Table 23) [45].
Mardenborough et al. synthesized several N-substituted quindolines to study the effect of N-alkylation on the antimicrobial activity of selected quindolines. The synthesized compounds were evaluated for their antimicrobial activity against selected bacterial and fungal strains including MRSA which indicated that compound 46 was most potent anti-MRSA agent having IC50 value of 2.0 µg/mL (Table 24) [46].
Inagaki et al. synthesized a series of novel 6-fluoro-1-[(1R,2S)-2-fluorocyclopropan-1-yl]-4-oxoquinoline-3-carboxylic acids bearing cyclopropane fused 2-amino-8-azabicyclo[4.3.0]nonan-8-yl substituents at the C-7 position and evaluated their antibacterial activity against representative Gram positive and negative bacterial strains. The antibacterial activity results indicated that compounds 47 and 48 were most potent anti-MRSA agents, both having MIC values 0.006 µg/mL and were more potent than all the standard compounds levofloxacin, moxifloxacin, vancomycin and linezolid (Table 25) [47].
Hoemann et al, synthesized a series of 2-(1H-indol-3-yl)tetrahydroquinolines using hetero Diels–Alder reaction and evaluated their antibacterial activity against methicillin-resistant Staphylococcus aureus (MRSA) and vancomycin-resistant Enterococcus faecium (VRE). The antibacterial activity results indicated that compounds 49 and 50 were most potent anti-MRSA agents having MIC values < 0.39 and 0.31 µg/mL respectively (Table 26) [48].
Hoemann et al. discovered a novel series 2-(1H-indol-3-yl)quinolones as anti-methicillin-resistant Staphylococcus aureus (MRSA) agents from a combinatorial library. The synthesized compounds were having minimum inhibitory concentrations (MICs) < 1.0 mg/mL against MRSA. A structure activity relationship (SAR) study was conducted for the anti-MRSA activity of synthesized quinolones which indicated that compounds having chloro or methyl alcohol group at 4th position of quinoline ring were having best anti-MRSA activity. Presence of chloro group at 5th, 6th, 7th and 8th position of quinoline ring also improved anti-MRSA activity of synthesized compounds. Presence of halo groups (Cl, Br or F) at 5th or 6th positions of indole nucleus also improved the anti-MRSA activity of the synthesized compounds. Compound 51 ((2-(5-bromo-1H-indol-3-yl)-7-chloroquinolin-4-yl)methanol) was found to be the most potent compound of the series (Table 27) [49].
Conclusion
The literature reports reveal that quinoline derivatives have immense potential to control MRSA infection. Many compounds have shown anti-MRSA activity better than standard drugs that too with low toxicity but microbes are also having an evolutionary feature of resistance. We have very limited options to deal with these emerging resistant microbes. So, we have to keep our war against emerging resistant microbes on and also we have to check the abuse of available antibiotics. This review will definitely help the researchers working on development of novel anti-MRSA agents.
Availability of data and materials
The data and material provided in the current manuscript is taken from available literature published in peer reviewed journals and proper references have been given for the same. All the references cited are available on the internet.
Abbreviations
- ATCC:
-
American Type Culture Collection
- B. subtilis :
-
Bacillus subtilis
- C. albicans :
-
Candida albicans
- CA-MRSA:
-
Community associated MRSA
- E. coli :
-
Escherichia coli
- E. faecium :
-
Enterococcus faecium
- FtsZ:
-
Filamenting temperature-sensitive mutant Z
- GTPase:
-
Guanosine triphosphatase
- HA-MRSA:
-
Healthcare associated MRSA
- LA-MRSA:
-
Livestock associated MRSA
- MIC50 :
-
Minimum inhibitory concentration which inhibits 50% isolates of the species, tested
- MIC50 :
-
Minimum inhibitory concentration which inhibits 90% isolates of the species, tested
- MRSA:
-
Methicillin resistant Staphylococcus aureus
- MRSE:
-
Methicillin-resistant Staphylococcus epidermidis
- MTT:
-
3-(4,5-Dimethylthiazol-2-yl)-2,5-diphenyltetrazolium bromide
- NDM-1:
-
New Delhi metallo-beta-lactamase 1
- P. aeruginosa :
-
Pseudomonas aeruginosa
- VRE:
-
Vancomycin-resistant enterococcus faecium
References
- 1.
Stapleton PD, Taylor PW (2002) Methicillin resistance in Staphylococcus aureus: mechanisms and modulation. Sci Prog 85(Pt 1):57–72
- 2.
Grema HA, Geidam YA, Gadzama GB, Ameh JA, Suleiman A (2015) Methicillin resistant Staphylococcus aureus (MRSA): a review. Adv Anim Vet Sci. 3(2):79–98
- 3.
Chen C, Huang Y (2014) New epidemiology of Staphylococcus aureus infection in Asia. Clin Microb Infect. 20(7):605–623
- 4.
Kali A, Stephen S, Umadevi S, Kumar S, Joseph NM, Srirangaraj SJ (2013) Changing trends in resistance pattern of methicillin resistant Staphylococcus aureus. Clin Diagn Res. 7(9):1979–1982
- 5.
Rupali SM, Akshay RK, Nitin AA, Sarika PK (2014) Prevalence of methicillin resistant Staphylococcus aureus in tertiary care hospital, central India. Int J Curr Microbiol Appl Sci. 3(10):582–586
- 6.
Bouchiat C, El-Zeenni N, Chakrakodi B, Nagaraj S, Arakere G, Etienne J (2015) Epidemiology of Staphylococcus aureus in Bangalore, India: emergence of the ST217 clone and high rate of resistance to erythromycin and ciprofloxacin in the community. New Microbes New Infect. 7:15–20
- 7.
Vysakh PR, Jeya MJ (2013) A comparative analysis of community acquired and hospital acquired methicillin resistant Staphylococcus aureus. Clin Diagn Res. 7(7):1339–1342
- 8.
Chatterjee SS, Otto M (2013) Improved understanding of factors driving epidemic waves. Clin Epidemiol 5:205–217
- 9.
Voss A, Loeffen F, Bakker J, Klaassen C, Wulf M (2005) Methicillin-resistant Staphylococcus aureus in pig farming. Emerg Infect Dis 11(12):1965–1966
- 10.
VanRijen MRL, Van Keulen PH, Kluytmans JA (2008) Increase in a Dutch hospital of methicillin-resistant Staphylococcus aureus related to animal farming. Clin Infect Dis 46(2):261–263
- 11.
Lim D, Strynadka NCJ (2002) Structural basis for the beta lactam resistance of PBP2a from methicillin-resistant Staphylococcus aureus. Nat Struct Biol. 9(11):870–876
- 12.
Fiorito J, Saeed F, Zhang H, Staniszewski A, Feng Y, Francis YI, Rao S, Thakkar DM, Deng S, Landry DW, Arancio O (2013) Synthesis of quinoline derivatives: discovery of a potent and selective phosphodiesterase 5 inhibitor for the treatment of Alzheimer’s disease. Eur J Med Chem 60:285–294
- 13.
Bingul M, Tan O, Gardner CR, Sutton SK, Arndt GM, Marshall GM, Cheung BB, Kumar N, Black DS (2016) Synthesis, characterization and anti-cancer activity of hydrazide derivatives incorporating a quinoline moiety. Molecules 21:916
- 14.
Wei C, Deng X, Chai K, Sun Z, Quan Z (2010) Synthesis and anticonvulsant activity of 1-formamide-triazolo[4,3-a]quinoline derivatives. Arch Pharm Res. 33(5):655–662
- 15.
Nikookar H, Mohammadi-Khanaposhtani M, Imanparast S, Faramarzi MA, Ranjbar PR, Mahdavi M, Larijani B (2018) Design, synthesis and in vitro α-glucosidase inhibition of novel dihydropyrano[3,2-c]quinoline derivatives as potential anti-diabetic agents. Bioorg Chem. 77:280–286
- 16.
Muruganantham N, Sivakumar R, Anbalagan N, Gunasekaran V, Leonard JT (2004) Synthesis, anticonvulsant and antihypertensive activities of 8-substituted quinoline derivatives. Biol Pharm Bull 27(10):1683–1687
- 17.
Wen X, Wang S, Liu D, Gong G, Quan Z (2015) Synthesis and evaluation of the anti-inflammatory activity of quinoline derivatives. Med Chem Res 24:2591–2603
- 18.
Desai NC, Patel BY, Dave BP (2017) Synthesis and antimicrobial activity of novel quinoline derivatives bearing pyrazoline and pyridine analogues. Med Chem Res 26:109–119
- 19.
Motati DR, Uredi D, Watkins EB (2018) A general method for the metal-free, regioselective, remote C-H halogenation of 8-substituted quinolines. Chem Sci 9:1782–1788
- 20.
Fu H-G, Li Z-W, Hu X-X, Si S-Y, You X-F, Tang S, Wang Y-X, Song D-Q (2019) Synthesis and biological evaluation of quinoline derivatives as a novel class of broad-spectrum antibacterial agents. Molecules 24:548. https://doi.org/10.3390/molecules24030548
- 21.
Zheng Y-Y, Du R-L, Cai S-Y, Liu Z-H, Fang Z-Y, Liu T, So L-Y, Lu Y-J, Sun N, Wong K-Y (2019) Study of benzofuroquinolinium derivatives as a new class of potent antibacterial agent and the mode of inhibition targeting FtsZ. Front Microbiol. 24:548. https://doi.org/10.3389/fmicb.2018.01937
- 22.
Teng P, Li C, Peng Z, Vanderschouw AM, Nimmagadda A, Su M, Li Y, Sun X, Cai J (2018) Facilely accessible quinoline derivatives as potent antibacterial agents. Bioorg Med Chem. 26(12):3573–3579
- 23.
Sun N, Du R, Zheng Y, Huang B, Guo Q, Zhang R, Wong K, Lu Y (2017) Antibacterial activity of n-methylbenzofuro[3,2-b]quinoline and n-methylbenzoindolo[3,2-b]-quinoline derivatives and study of their mode of action. Eur J Med Chem 135:1–11
- 24.
Yang H, Wang H, Zhu T, Yu L, Chen J, Wang L, Shi L, Li D, Gu L, Huang Z, An L (2017) Syntheses and antibacterial activity of soluble 9-bromo substituted indolizinoquinoline-5,12-dione derivatives. Eur J Med Chem. 127:166–173
- 25.
Challa C, Ravindran J, Konai MM, Varughese S, Jacob J, Kumar BSD, Haldar J, Lankalapalli RS (2017) Expedient synthesis of indolo[2,3-b]quinolines, chromeno[2,3-b]indoles, and 3-alkenyl-oxindoles from 3,3′-diindolylmethanes and evaluation of their antibiotic activity against methicillin-resistant Staphylococcus aureus. ACS Omega. 2:5187–5195
- 26.
Dolan N, Gavin DP, Eshwika A, Kavanagh K, McGinley J, Stephens JC (2016) Synthesis, antibacterial and anti-MRSA activity, in vivo toxicity, and a structure–activity relationship study of a quinoline thiourea. Bioorg Med Chem Lett 26:630–635
- 27.
Perković I, Antunović M, Marijanović I, Pavić K, Ester K, Kral M, Vlainić J, Kosalec I, Schols D, Hadjipavlou-Litina D, Pontiki E, Zorc B (2016) Novel urea and bis-urea primaquine derivatives with hydroxyphenyl or halogenphenyl substituents: synthesis and biological evaluation. Eur J Med Chem 124:622–636
- 28.
Takahashi E, Fujinami C, Kuroda T, Takeuchi Y, Miyoshi S, Arimoto S, Negishi T, Okamoto K (2016) Indolo[3,2-b]quinoline derivatives suppressed the hemolytic activity of beta-pore forming toxins, aerolysin-like hemolysin produced by aeromonas sobria and alpha-hemolysin produced by Staphylococcus aureus. Biol Pharm Bull 39:114–120
- 29.
Wang X, Xie X, Cai X, Yang X, Li J, Li Y, Chen W, He M (2016) Design, synthesis and antibacterial evaluation of some new 2-phenyl-quinoline-4-carboxylic acid derivatives. Molecules 21:340–355
- 30.
Zhang L, Addla D, Ponmani J, Wang A, Xie D, Wang Y, Zhang S, Geng R, Cai G, Li S, Zhou C (2016) Discovery of membrane active benzimidazole quinolones-based topoisomerase inhibitors as potential DNA-binding antimicrobial agents. Eur J Med Chem 111:160–182
- 31.
Zhao M, Kamada T, Takeuchi A, Nishioka H, Kuroda T, Takeuchi Y (2015) Structure-activity relationship of indoloquinoline analogs anti-MRSA. Bioorg Med Chem Lett 25:5551–5554
- 32.
Huang X, Bao Y, Zhu S, Zhang X, Lan S, Wang T (2015) Synthesis and biological evaluation of levofloxacin core-based derivatives with potent antibacterial activity against resistant Gram-positive pathogens. Bioorg Med Chem Lett 25:3928–3932
- 33.
Zhang T, Shen W, Liu M, Zhang R, Wang M, Li L, Wang B, Guo H, Lu Y (2015) Synthesis, antimycobacterial and antibacterial activity of fluoroquinolone derivatives containing an 3-alkoxyimino-4-(cyclopropylanimo)methylpyrrolidine moiety. Eur J Med Chem 104:73–85
- 34.
Cui S, Peng L, Zhang H, Rasheed S, Kumar KV, Zhou C (2014) Novel hybrids of metronidazole and quinolones: synthesis, bioactive evaluation, cytotoxicity, preliminary antimicrobial mechanism and effect of metal ions on their transportation by human serum albumin. Eur J Med Chem 86:318–334
- 35.
Abouelhassan Y, Garrison AT, Burch GM, Wong W, Norwood VM IV, Huigens RW III (2014) Discovery of quinoline small molecules with potent dispersal activity against methicillin-resistant Staphylococcus aureus and Staphylococcus epidermidis biofilms using a scaffold hopping strategy. Bioorg Med Chem Lett 24:5076–5080
- 36.
Cui S-F, Ren Y, Zhang S-L, Peng X-M, Damu GLV, Geng R-X, Zhou C-H (2013) Synthesis and biological evaluation of a class of quinolone triazoles as potential antimicrobial agents and their interactions with calf thymus DNA. Bioorg Med Chem Lett 23:3267–3272
- 37.
Guo M, Zheng C, Song M, Wu Y, Sun L, Li Y, Liu Y, Piao H (2013) Synthesis and biological evaluation of rhodanine derivatives bearing a quinoline moiety as potent antimicrobial agents. Bioorg Med Chem Lett 23:4358–4361
- 38.
Bolden S Jr, Zhu XY, Etukala JR, Boateng C, Mazu T, Flores-Rozas H, Jacob MR, Khan SI, Walker LA, Ablordeppey SY (2013) Structure-activity relationship (SAR) and preliminary mode of action studies of 3-substituted benzylthioquinolinium iodide as anti-opportunistic infection agents. Eur J Med Chem 70:130–142
- 39.
Cieslik W, Musiol R, Nycz JE, Jampilek J, Vejsova M, Wolff M, Machura B, Polanski J (2012) Contribution to investigation of antimicrobial activity of styrylquinolines. Bioorg Med Chem. 20:6960–6968
- 40.
Sevgi F, Bedük D (2012) Synthesis and antimicrobial activity of novel glyoximes containing quinoline moiety. World Appl Sci J. 19(2):192–197
- 41.
Wu X, Wu Z, Wang L, Zhang H, Chen J, Zhang W, Gu L, Huang Z, An L (2011) Synthesis, antimicrobial activity and possible mechanism of action of 9-bromo-substituted indolizinoquinoline-5,12-dione derivatives. Eur J Med Chem 46:4625–4633
- 42.
Chai Y, Liu M, Lv K, Feng L, Li S, Sun L, Wang S, Guo H (2011) Synthesis and in vitro antibacterial activity of a series of novel gatifloxacin derivatives. Eur J Med Chem 46:4267–4273
- 43.
O’Donnell F, Smyth TJP, Ramachandran VN, Smyth WF (2010) A study of the antimicrobial activity of selected synthetic and naturally occurring quinolines. Int J Antimicrob Agents 35:30–38
- 44.
Lv J, Qian Y, Liu T, Wang Y (2007) Synthesis and evaluation of amphiphilic cationic quinine-derived for antibacterial activity against methicillin-resistant Staphylococcus aureus. Bioorg Med Chem Lett 17:4102–4106
- 45.
Wiles JA, Wang Q, Lucien E, Hashimoto A, Song Y, Cheng J, Marlor CW, Ou Y, Podos SD, Thanassi JA, Thoma CL, Deshpande M, Pucci MJ, Bradbury BJ (2006) Isothiazoloquinolones containing functionalized aromatic hydrocarbons at the 7-position: synthesis and in vitro activity of a series of potent antibacterial agents with diminished cytotoxicity in human cells. Bioorg Med Chem Lett. 16(5):1272–1276
- 46.
Mardenborough LG, Zhu XY, Fan P, Jacob MR, Khan SI, Walker LA, Ablordeppey SY (2005) Identification of bis-quindolines as new antiinfective agents. Bioorg Med Chem. 13:3955–3963
- 47.
Inagaki H, Takahashi H, Takemura M (2004) Synthesis and antibacterial activity of novel 6-fluoro-1-[(1R,2S)-2-fluorocyclopropan-1-yl]-4-oxoquinoline-3-carboxylic acids bearing cyclopropane-fused 2-amino-8-azabicyclo[4.3.0]nonan-8-yl substituents at the C-7 position. Bioorg Med Chem Lett. 14:5193–5198
- 48.
Hoemann MZ, Xie RL, Rossi RS, Meyer S, Sidhu A, Cuny GD, Hauske JR (2002) Potent in vitro methicillin-resistant Staphylococcus aureus activity of 2-(1H-indol-3-yl)tetrahydroquinoline derivatives. Bioorg Med Chem Lett 12:129–132
- 49.
Hoemann MZ, Kumaravel G, Xie RL, Rossi RF, Meyer S, Sidhu A, Cuny GD, Hauske JR (2000) Potent in vitro methicillin-resistant Staphylococcus aureus activity of 2-(1H-indol-3-yl)quinoline derivatives. Bioorg Med Chem Lett 10:2675–2678
Acknowledgements
The author is thankful to Central University of Punjab for providing infrastructural support for the successful completion of this study.
Funding
The author is thankful to Central University of Punjab for providing “Research Seed Money” for the successful completion of this study.
Author information
Affiliations
Contributions
Since, there is only one author. Contributions to the conception or design of the work; the acquisition, analysis, interpretation of data have been made by himself and is personally accountable to the accuracy or integrity of any part of the work. The author read and approved the final manuscript.
Corresponding author
Ethics declarations
Competing interests
The author declares no competing interests.
Additional information
Publisher's Note
Springer Nature remains neutral with regard to jurisdictional claims in published maps and institutional affiliations.
Rights and permissions
Open Access This article is licensed under a Creative Commons Attribution 4.0 International License, which permits use, sharing, adaptation, distribution and reproduction in any medium or format, as long as you give appropriate credit to the original author(s) and the source, provide a link to the Creative Commons licence, and indicate if changes were made. The images or other third party material in this article are included in the article's Creative Commons licence, unless indicated otherwise in a credit line to the material. If material is not included in the article's Creative Commons licence and your intended use is not permitted by statutory regulation or exceeds the permitted use, you will need to obtain permission directly from the copyright holder. To view a copy of this licence, visit http://creativecommons.org/licenses/by/4.0/. The Creative Commons Public Domain Dedication waiver (http://creativecommons.org/publicdomain/zero/1.0/) applies to the data made available in this article, unless otherwise stated in a credit line to the data.
About this article
Cite this article
Kumar, P. A review on quinoline derivatives as anti-methicillin resistant Staphylococcus aureus (MRSA) agents. BMC Chemistry 14, 17 (2020). https://doi.org/10.1186/s13065-020-00669-3
Received:
Accepted:
Published:
Keywords
- Staphylococcus aureus
- MRSA
- Quinoline
- CA-MRSA
- HA-MRSA
- LA-MRSA







